
서해안 금강하구역에서 춘계와 하계 자치어의 종조성에 영향을 미치는 환경적 요인
Abstract
This study investigated seasonal variations in species composition and abundance of fish larvae at six stations in the Geum River Estuary during spring and summer from 2019 to 2021, and examined the environmental factors influencing these variations. Water temperature, salinity, dissolved oxygen, precipitation, freshwater discharge, chlorophyll a, zooplankton density, and egg density were analyzed concurrently. In spring, egg density increased with higher salinity, while larval abundance was greater at stations with lower salinity. Larval abundance also showed a significant positive correlation with water temperature. In contrast, no significant relationships between larval or egg density and environmental factors were observed in summer, likely due to increased environmental variability caused by freshwater discharge and rainfall. Gobiidae dominated the larval assemblage throughout the study period, exhibiting extreme dominance in spring, whereas dominant taxa varied among years in summer. These results indicate that the Geum River Estuary functions as a relatively stable nursery ground in spring, but becomes environmentally unstable in summer under strong freshwater discharge effects. This study provides integrated information on the influence of freshwater discharge and seasonal environmental variability on larval fish assemblages.
Keywords:
Environmental factors, Fish larvae, Geum river estuary, Freshwater discharge, Nursery groundI. 서 론
금강하구는 한국 서해안의 대표적인 연안 생태계로서, 담수와 해수가 교차하는 기수역 환경을 형성하며 다양한 어종의 산란장 및 초기 생활사 단계의 성육장(nursery ground) 역할을 수행하는 해역이다. 이러한 하구역은 높은 생산성과 생물다양성을 바탕으로 연안 수산자원의 유지·보전에 중요한 기능을 담당한다(Cha et al., 1990; Hwang et al., 2007; Park et al., 2018; Chin et al., 2020; Chin, 2024; Lee et al., 2025).
그러나 1988년 금강하구둑이 완공된 이후, 1994년부터 비정기적인 수문 개폐를 통한 담수 방류가 시행되면서 금강하구의 자연적인 조석 및 수리학적 역동성은 크게 변화하였다. 그 결과, 금강하구는 조석 교환이 제한되고 담수 방류에 의해 환경 조건이 인위적으로 조절되는 ‘닫힌 하구(closed estuary)’의 특성을 띠게 되었다(Shin, 2013). 이러한 구조적 변화는 염분 분포, 수온 구조, 유속 및 영양염 공급 체계에 영향을 미치며, 하구 생태계 전반의 기능 저하를 초래하는 요인으로 작용한다.
비정기적인 담수 방류는 단기간에 염분을 급격히 낮출 뿐만 아니라 무기 영양염 농도의 변동성을 증가시킨다(Shin, 2013; Park et al., 2018). 식물플랑크톤 생물군집 지표(P-IBI) 분석 결과에 따르면 금강하굿둑 인근 내측 해역과 풍수기인 하계에 생태계 건강성이 가장 저하되는 경향을 보였으며, 이는 자치어의 초기 먹이원인 플랑크톤 군집의 안정성이 약화하였음을 시사한다(Park et al., 2018). 또한 금강하구역 자치어 군집은 고수온 현상 발생시 망둑어과의 우점도가 감소하는 등 기온 변화에 민감하게 반응하며, 태풍이나 집중호우에 따른 대량의 담수 유입 시 급격한 환경 변화(environmental shock)를 경험하는 것으로 보고되고 있다(Chin et al., 2020; Chin and Lee, 2024).
특히 하굿둑 수문 개폐에 따른 대량의 담수 방류는 강한 유속을 유발하며, 이는 유영 능력이 충분히 발달하지 않은 자치어를 하구 외측 또는 외해로 강제 유출시키는 주요 요인으로 작용할 수 있다. 이러한 현상은 자치어가 안정적으로 성장해야 할 성육장으로서의 금강하구 기능을 약화시키는 원인으로 판단된다.
어란 및 자치어의 종조성과 분포 특성은 산란장 및 성육장의 위치를 파악하고, 어장에 가입하는 수산자원의 변동을 예측하기 위한 핵심적인 생물학적 기초자료로 활용된다(Miller and Kendall, 2009; Moon et al., 2022). 자치어의 생존과 분포 특성은 어류 자원량 변동을 이해하는 데 중요한 정보를 제공하며 해양환경 변화에 따른 수산자원 동태를 평가하는 지표로도 활용이 가능하다(Fuiman and Werner, 2002; Butler et al., 2003; Takahashi and Watanabe, 2004; Song et al., 2018).
자치어의 종조성과 시·공간적 분포는 산란 전략과 먹이생물의 현존량과 같은 생물학적 요인과 더불어 수온, 염분, 용존산소 등 비생물학적 요인에 의해 복합적으로 영향을 받는다(Houde, 1989; Blaxter, 1991; Laprise and Pepin, 1995; Zhang et al., 2015; Wang et al., 2021; Moon et al., 2022). 특히 하구와 같이 환경 변동성이 큰 해역에서는 이러한 요인들이 자치어 군집 구조에 미치는 영향이 크게 나타날 가능성이 높다.
따라서 본 연구에서는 2019년부터 2021년까지 춘계와 하계에 금강하구역 6개 정점을 대상으로 자치어의 종조성과 출현 개체수 변동을 분석하고, 수온, 염분, 용존산소, 엽록소 a, 동물플랑크톤 밀도 및 어란 밀도와 같은 환경 요인과의 관계를 2개 계절과 검토하고자 한다. 이를 통해 담수 방류가 금강하구역 자치어 군집 구조에 미치는 영향을 종합적으로 평가하고, 금강하구의 성육장 기능과 연안 수산자원 관리에 기초 자료를 제공하고자 한다.
Ⅱ. 연구 방법
1. 해양조사
본 연구는 국가생태계종합조사의 연안생태조사에서 생산하는 자료를 이용하였다. 모든 조사와 분석은 국가해양생태계종합조사 조사지침서(MOF and KOEM, 2016)에 의해서 수행되었고 2019년~2021년 춘계(5월)와 하계(8월)의 창조에 6개의 정점에서 조사가 수행되었다([Fig. 1]).
연구에 이용한 자료의 항목은 자치어의 종조성, 어란의 밀도, 수심, 수온(표층/저층), 염분(표층/저층), 용존산소(표층/저층), 엽록소 a(Chl-a), 동물플랑크톤 밀도, 어란 밀도 등 이었다. 그밖에 자료로 2019년~2021년의 기상청의 종관기상관측 자료(data.kma.go.kr)에서 군산기상대의 강수량과 공공데이터포털(www.data.go.kr)에서 금강하굿둑 배수갑문방류량을 제공받은 자료를 이용하였다. 강수량은 조사일 이전의 방류한 날짜부터 조사 당일까지의 강수량(1.9~36 mm)의 합과 일수(1~7day)를 산정하여 산출(mm/day)하였다. 방류량은 금강하구둣에서 이전 방류 일부터 조사 일(1~7day)까지의 합을 이용하였다.
모든 조사는 해양환경공단에서 보유하고 있는 해양환경조사선인 아라미1호(현 해양환경조사1호, 90톤)로 수행되었다. 어란 및 자치어의 채집은 링네트(망구 80 cm, 망목 300 μm)를 이용하여 2~3노트로 10분간 경사 채집을 수행하였다. 경사 채집은 수심의 약 2배 정도 길이가 되도록 네트에 연결된 와이어를 내려서 예망하면서 올리는 방식으로 수행하였고 네트가 표층까지 올라오면 다시 수층 아래로 내려서 조사하는 방식으로 10분간 수행하였다. 채집된 시료는 95% 에탄올로 고정하였고 유량계(Hydro-Bios Model 438110, Germany)로 환산하여 밀도를 구하였다. 자치어의 동정은 해부현미경(Olympus SZX7, Japan)을 이용하여 Kim et al. (2011)과 Okiyama (2014)의 문헌을 참고하여 종 수준까지 분류하였다. 분류체계와 학명은 WORMS (World Register of Marine Species)와 국가해양수산생물종목록집(MABIK, 2021)을 참고하였다.
2. 자료 분석
모든 항목 간의 Pearson 상관관계에서 생물 개체수는 로그 치환하였고 수행하였다. 또한 계절별 연도 간의 비교와 계절별 정점 간의 비교를 위하여 ANOVA를 수행하였고 통계적으로 유의한 차이가 있는 경우에 Tukey-HSD 다중비교를 수행하였다. 상관관계와 다중비교는 SPSS Statistic 26(IBM Corp.)을 이용하였다. 자치어의 정점 간의 군집분석은 계절별 출현 개체수 비가 0.8% 이하의 분류군들을 제외하였고 망둑어과 분류군은 모두 병합하고 춘계와 하계로 구분하여 유사도 분석(ANOSIM)을 수행하였다. 그 결과 유의한 차이가 있어 SIMPER 분석을 수행하였고 모든 군집분석은 PRIMER 6.0을 이용하였다.
Ⅲ. 연구 결과
1. 조사 환경
본 연구에서는 수온, 염분, 용존산소량, 수심을 조사시기별로 비교·분석하였다(<Table 1>). 춘계의 수온은 연도별로 유의한 차이가 나타나지 않았으나, 하계에는 2019년과 2020년의 수온이 2021년보다 유의하게 높았다(p<0.05). 염분과 용존산소량은 연도별로 표층과 저층 모두에서 유의한 차이가 나타나지 않았다. 수심은 통계적으로 유의하지 않았고 2019년의 춘하계가 다른 연도보다는 얕은 경향을 나타냈다.
강수량, 방류량, 엽록소 a(Chl-a), 동물플랑크톤 밀도 및 어란 밀도는 조사시기별로 비교하였다(<Table 2>). 강수량은 통계적으로 유의한 차이는 없었으나, 2020년 춘계에 가장 적었고 2019년 하계에 가장 많았다. 2019년 춘계에는 4개 정점을 조사한 후 4일이 경과한 후에 2개 정점을 추가로 조사하였으며, 이 시기에 강수량과 방류량이 상대적으로 증가한 것으로 나타났다.
방류량은 춘계의 2019년과 2020년, 그리고 하계의 2019년 사이에 유의한 차이가 없었으나, 하계의 2021년에 가장 많은 방류량이 기록되었다. 엽록소 a 농도는 2020년 하계에 가장 높게 나타났으며, 그 외 조사시기에는 유사한 수준을 보였다(p<0.05). 동물플랑크톤 밀도는 통계적으로 유의한 차이는 없었으나, 2021년 춘계에 가장 높았고 2020년 하계에 가장 낮은 값을 나타냈다. 어란 밀도는 전반적으로 춘계가 하계보다 높은 경향을 보였으며, 하계에는 2019년의 어란 밀도가 가장 낮았다(p<0.05).
정점별 비교 분석 결과, 정점 K01~K04는 금강하구 내에 위치하여 하구 입구에서 멀어질수록 염분의 영향이 약화되는 경향을 나타냈다([Fig. 2]). 어란 밀도는 춘계가 하계보다 높은 경향을 보였으며, 하계에는 정점 K01에서 어란 출현 개체수가 가장 적었다([Fig. 3]). 자치어 밀도는 연도별로는 유의한 차이가 나타나지 않았으나, 정점별로 비교한 결과 금강 입구에 가까운 정점일수록 출현 개체수가 증가하는 경향을 보였다([Fig. 4]). 그 외 환경요인에서는 정점 간 통계적으로 유의한 차이가 나타나지 않았다.
Average salinity among stations during this study. Different letters indicate statistical differences (p<0.05).
Number of egg among stations during this study. Different letters indicate statistical differences (p<0.05).
Number of larvae among stations during this study. Different letters indicate statistical differences (p<0.05).
춘계에는 어란 밀도와 염분([Fig. 5]), 자치어 밀도와 염분([Fig. 6]), 자치어 밀도와 수온([Fig. 7]) 간에 통계적으로 유의한 상관관계가 확인되었다(p<0.05). 염분이 높은 정점에서는 어란의 출현 개체수와 출현 빈도가 증가했지만, 자치어는 염분이 낮은 정점에서 출현 개체수가 많았고, 염분이 높은 정점에서는 출현 빈도가 높게 나타났다. 또한 자치어의 출현 개체수는 수온이 높을수록 증가하는 경향을 보였다. 반면 하계에는 어란 및 자치어 밀도와 다른 환경요인 간에 통계적으로 유의한 상관관계가 나타나지 않았다.
Correlation between fish larvae density and temperature in spring. Solid line is trend line between parameters and dot line indicates standard deviation. Label indicate year and station number
Correlation between fish egg density and salinity in spring. Solid line is trend line between parameters and dot line indicates standard deviation. Label indicate year and station number
Correlation between fish larvae density and salinity in spring Solid line is trend line between parameters and dot line indicates standard deviation. Label indicate year and station number
자치어가 채집조사 18번 중 채집되지 않은 횟수는 총 7번으로, 춘계와 하계 모두에서 2019년의 K05와 K06 정점,춘계의 2020년 K06 정점, 하계의 2020년 K01과 K04 정점이었다. 어란은 2019년 하계에 3개 정점에서 출현하지 않았다.
2. 출현 종조성
본 자료에서 출현한 자치어의 종수는 19과 22개 분류군이었고 춘계에 출현현 자치어는 9개 분류군이었고 하계에는 15개 분류군으로 하계가 많았지만, 출현한 개체수는 춘계가 하계보다 많았다. 출현한 자치어 중 전체 출현량의 1%를 넘는 분류군은 전어(Konosirus punctatus), 멸치(Engraulis japonicus), 학공치(Hyporhamphus sajori), 놀래기과(Labridae sp.), 돛양태과(Callionymidae sp.), 망둑어과(Gobiidae spp.), 가자미과(Pleuronectidae sp.)이었다(<Table 3>).
조사 기간에 출현한 전체 자치어 분류군 중 망둑어과가 전체 출현 개체수의 80.5%를 차지하여 가장 우점하였으며, 전어가 5.6%로 차우점하였고, 멸치가 4.3%로 그 다음으로 높은 비율을 차지하였다.
계절별 자치어 출현 개체수는 춘계에 2020년이 4,295 ind./103m3로 가장 높게 나타났으며, 2019년(774 ind./103m3)과 2021년(725 ind./103m3)은 유사한 수준을 보였다. 춘계에는 전반적으로 망둑어과가 우점하였고 전어가 차우점하였으나, 2021년에는 차우점 분류군이 놀래기과로 나타났다.
하계 자치어 출현개체수는 모든 연도에서 253~372 ind./103m3범위로 유사한 수준을 보였다. 연도별 우점 분류군은 상이하게 나타났으며, 2019년에는 망둑어과가 우점하고 가자미과가 차우점하였고, 2020년에는 멸치가 우점하고 망둑어과가 차우점하였다. 2021년에는 놀래기과가 우점하고 멸치가 차우점하였다.
3. 군집 구조 및 정점별 분포 특성
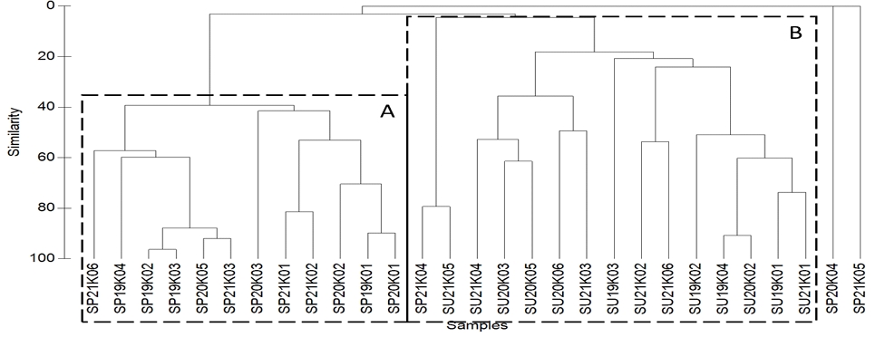
계절별 정점 간 자치어 종조성의 차이를 분석하기 위해 수행한 ANOSIM 분석 결과, 그룹 간에 통계적으로 유의한 차이가 확인되었다(R=0.74, p<0.01). 유사도 분석 결과, 조사 정점은 춘계에 조사된 정점으로 구성된 그룹 A와 하계에 조사된 정점으로 구성된 그룹 B의 두 개 그룹으로 구분되었다(<Table 4>).
A dendrogram illustration the classification of sampling periods and station determined by analysis of species composition. Sample abbreviation indicates Season-Year-Station (SP : spring; SU : summer)
두 그룹 모두에서 망둑어과가 높은 기여도(68.0~95.3%)를 보였으며, 하계 정점으로 구성된 그룹 B에서는 멸치(19.6%)와 돛양태과(8.8%)가 상대적으로 높은 기여도를 나타냈다. 한편, 춘계의 2020년 K04 정점과 2021년 K05 정점은 군집 그룹에 포함되지 않았으며, 이는 해당 정점에서 주요 기여 분류군인 망둑어과, 멸치, 돛양태과가 출현하지 않았기 때문으로 판단된다.
춘계 자치어의 평균 출현 밀도는 정점 K01과 K02에서 각각 1,446.5±1,591.7 ind./103m3, 387.9±393.4 ind./103m3로 나타나, 다른 정점에 비해 상대적으로 높은 평균값과 큰 변동성을 보였다. 이들 정점은 담수의 영향을 직접적으로 받는 하구 내부 정점으로, 망둑어과 자치어가 집중적으로 출현한 특징을 보였다.
하계에는 춘계에 비해 자치어 출현 개체수가 정점별로 분산되는 경향을 나타냈으며, 정점 K02에서 11.4±9.4 ind./103m3로 가장 높았고, K06(6.6±10.1 ind./103m3)과 K03(5.8±5.4 ind./103m3) 순으로 나타났다. 하계 자치어의 종조성은 춘계와 마찬가지로 망둑어과가 주요 구성 분류군이었으나, 일부 연도에서는 멸치 자치어가 함께 출현하였다.
Ⅳ. 결 론
본 연구는 2019년부터 2021년까지 춘계와 하계에 금강하구역 6개 정점에서 출현하는 자치어의 종조성과 출현 개체수 변동을 분석하고, 이러한 변동이 환경 요인, 특히 담수 방류 특성과 계절적 해양환경 변화와 어떠한 관련성을 가지는지를 검토하였다.
금강하구역은 하구둑의 존재로 인해 자연적인 조석 교환이 제한된 ‘닫힌 하구(closed estuary)’의 특성을 가지며, 담수 방류 이후 배출된 담수는 조류와 함께 이류·혼합과 성층을 반복한 후 약 50시간이 경과하면 방류 이전의 수층 구조로 회복되는 것으로 보고된 바 있다(Cho et al., 2016; Kim and Hwang, 2018; MOF and KIMST, 2019). 이러한 수리·환경적 특성은 유영 능력이 충분히 발달하지 않은 자치어의 분포와 생존에 중요한 영향을 미칠 것으로 판단된다.
본 연구 결과, 춘계에는 어란 밀도가 염분이 높은 정점에서 증가하고 출현 빈도 또한 높게 나타났으며, 이는 염분 조건이 산란 및 어란 유지에 중요한 요인으로 작용함을 시사한다. 반면 자치어는 염분이 상대적으로 낮은 정점에서 출현 개체수가 많았고, 염분이 높은 정점에서는 출현 빈도가 높게 나타나는 상반된 분포 특성을 보였다. 이러한 결과는 기수역 종인 망둑어과 자치어가 저염분 환경을 성육장으로 이용하는 특성 때문으로 판단된다. 또한 자치어 출현 개체수는 수온과 유의한 양의 상관관계를 보여, 춘계 수온 상승이 자치어의 분포와 생존에 중요한 역할을 하는 요인으로 판단된다(Houde, 1989; Blaxter, 1991; Laprise and Pepin, 1995; Moon et al., 2022).
하계에는 어란 및 자치어 밀도와 환경요인 간의 통계적으로 유의한 상관관계가 나타나지 않았는데, 이는 하계에 집중되는 담수 방류와 강우로 인해 수온, 염분, 영양염 환경이 단기간에 크게 변동하면서 자치어 군집 구조가 불안정해졌기 때문으로 판단된다. 방류량이 상대적으로 적었던 2019년에는 조사 직전에는 방류가 없었으나 조사 일정 사이에 강우와 방류가 집중되면서 일부 정점(K05, K06)에서 자치어와 어란이 출현하지 않았다. 2020년에는 조사 당일 대규모 방류가 있었고, 엽록소 a 농도는 높게 나타났고 금강에 가장 가까운 정점(K01)에서는 자치어가 출현하지 않았으며, 이는 태풍 바비의 북상에 대비한 사전 방류의 영향으로 판단된다. 2021년에는 방류량이 가장 많았으나 조사 이전부터 지속적인 방류가 이루어져 수층 환경의 급격한 변동이 완화되었고, 이에 따라 비교적 많은 어란이 염분의 영향을 받지 않는 정점에서 출현하였다.
서해 남부 연안 및 하구역에서 수행된 선행 연구들과 비교하면, 본 연구에서 관찰된 춘계 자치어 출현 개체수가 하계보다 높은 경향은 전북 연안(Youn et al., 2019) 및 금강하구역의 과거 조사 결과(Chin et al., 2020)와 전반적으로 유사하였다. 또한 방조제 완공 이전 새만금 해역에서는 하계에 자치어 출현이 집중되는 것으로 보고된 바 있으며(Cha and Park, 1991; Cha et al., 2004), 이는 하구 구조 및 담수 영향의 차이에 따라 자치어 출현 양상이 달라질 수 있음을 시사한다.
종조성 측면에서, 금강하구역과 새만금 해역, 전북 연안 및 기존 금강하구 조사에서 공통적으로 망둑어과 자치어가 우점하는 경향이 나타났으며(Cha and Huh, 1988; Han et al., 2002; Chin et al., 2020; Youn et al., 2022; Chin and Lee, 2024), 이는 기수역 및 연안 얕은 수역을 성육장으로 이용하는 망둑어과의 생태적 특성을 반영하는 결과로 판단된다. 본 연구에서는 춘계에 망둑어과가 극우점하는 반면, 하계에는 차우점하는 멸치, 보리멸과, 양태류 등 다양한 분류군이 출현하여 군집 유사도가 낮아지는 양상을 보였다.
망둑어과는 종 다양성이 높고 특히 형태적으로 종 동정이 어려워서 국내에서는 이들의 분포와 서식에 관한 연구가 부족하다. 향후 출현하는 망둑어류들에 대한 형태적 관찰과 함께 유전학적 분석을 통한 분자동정 정보 확보가 필요하다고 판단된다(Moon et al., 2022).
전어 자치어는 주로 춘계에 출현하였으며, 이는 전어의 산란 시기와 적정 수온·염분 범위가 금강하구역의 춘계 환경 조건과 부합하기 때문으로 해석된다(Yamada et al., 1986; NFRDI, 2024). 연안생태조사 보고서(KOEM, 2020)에 따르면 전어 어란 및 자치어는 서해에서 한강, 금강, 영산강 하구역을 중심으로 춘계에 출현하며, 본 연구 결과에서도 이러한 공간적·계절적 분포 특성과 일치하였다.
금강하구역은 담수 방류 시기와 강도에 따라 자치어의 출현 여부와 종조성이 민감하게 반응하는 해역으로, 기수역 적응종뿐만 아니라 외해성 어종의 자치어가 일시적으로 이용하는 복합적인 성육장 기능을 수행하는 것으로 판단된다. 이러한 결과는 금강하구둑의 방류 관리가 자치어 생존과 수산자원 가입량 변동에 직·간접적인 영향을 미칠 수 있음을 시사한다.
따라서 향후 금강하구역에서는 담수 방류 특성과 자치어 분포의 장기적 변동을 연계한 지속적인 모니터링이 필요하며, 환경적 요인으로 회복력이 약화된 자치어 군집에 장기적인 자원 가입의 실패 위험을 내포하고 있어 하구 생태계의 성육장 기능을 고려한 수산자원에 관한 지속적인 연구가 필요하다.
References
-
Blaxter JHS(1991). The effect of temperature on larval fishes. Neth J Zool, 42, 336~357.
[https://doi.org/10.1163/156854291X00379]
- Butler JL, Jacobson LD, Barnes JT and Moser HG(2003). Biology and population dynamics of cowcod (Sebastes levis) in the southern California bight. Fish Bull, 101(2), 260-280.
- Cha SS, Chun SJ, Yang JS and Choi KW(2004). Species composition and abundance of ichthyoplankton in the waters of Saemangeum, Korea 2003. Korean J Ichthyol, 16(4), 321~330.
- Cha SS and Huh SH(1988). Variation in abundances of ichthyoplankton in the Nakdong River Estuary. Bull Kor Fish Tech Soc, 24, 135~143.
- Cha SS and Park KJ(1991). Spatio-temporal distribution of the ichthyplankton in the Mankyong-dongjin Estuary. J Oceano Soc Kor, 26(1), 47~58.
- Cha SS, Yoo JM and Kim JM(1990). Seasonal variation of the fish larval community in the coastal waters of the mid-east Yellow Sea. J Oceano Soc Kor, 25(2), 96~105.
-
Chin BS(2024). Species composition and abundances of ichthyolplankton in Yeongsan River Estuary in spring and summer. J Korean Soc Fish Ocean Technol, 60(1), 37~46.
[https://doi.org/10.3796/KSFOT.2024.60.1.037]
-
Chin BS, Kim ST, Kim JS and Park GS(2020). Species composition and abundances of ichthyol-plankton in Geum River Estuary in spring and summer. JFMSE, 32(1), 65~73.
[https://doi.org/10.13000/JFMSE.2020.2.32.1.65]
-
Chin BS and Lee HS(2024). Species composition and abundance of ichthyol-plankton in Han River Estuary in spring and summer of 2017~2019. JFMSE, 36(2), 205~214.
[https://doi.org/10.13000/JFMSE.2024.4.36.2.205]
-
Cho J, Song Y and Kima TI(2016). Numerical modeling of estuarine circulation in the Geum River Estuary, Korea. Procedia Engineering, 154, 982~989.
[https://doi.org/10.1016/j.proeng.2016.07.586]
- Fuiman LA and Werner RG(2002). Fishery science: The unique contributions of early life stages, Blackwell Science Ltd., Miami, 326.
- Han KH, Shin YH and Hwang DS(2002). Seasonal variations in species composition of ichthyoplanton off Kohung Peninsula, Korea. Korean J Ichthyol, 14(1), 45~52.
- Houde ED(1989). Comparative growth, mortality, and energetic of marine fish larvae: Temperature and implied latitudinal effects. Fish Bull, 87(3), 471~495.
-
Hwang SD, Mcfarlane GA, Choi OI, Kim JS and Hwang HJ(2007). Spatiotemporal distribution of pacific anchovy (Engraulis japonicus) eggs in the west sea of Korea. J Fish Sci Technol, 10(2), 74~85.
[https://doi.org/10.5657/fas.2007.10.2.074]
- Kim JK, Ryu JH, Kim S, Lee DW, Choi KH, Oh TY, Hwang KS, Choi JH, Kim JN, Kwun HJ, Ji HS and Oh JN(2011). An identification guide for fish eggs, larvae and juveniles of Korea, Seoul: Hanguel Graphics. 275.
-
Kim NH and Hwang JH(2018). Reconstruction of TS spatial distribution using minimum points in Geumgang Estuary. J Korean Soc Mar Environ Energy, 21(4), 351~360.
[https://doi.org/10.7846/JKOSMEE.2018.21.4.351]
- KOEM(2020). Coastal ecosystem. KOEM Report 347.
-
Laprise R and Pepin P(1995). Factors influencing the spatiotemporal occurrence of fish eggs and larvae in a northern, physically dynamic coastal environment. Mar Ecol Prog Ser, 122, 73~92.
[https://doi.org/10.3354/meps122073]
-
Lee MY, Kim TH, Kim Y, Kim H, Kang TW and Park SE(2025). Biogeochemical responses to water management: Insights from the regulated Geum River, Korea. Journal of Hydrology: Regional Studies, 61, 102652.
[https://doi.org/10.1016/j.ejrh.2025.102652]
- MOF and KOEM(2016). National investigation of marine ecosystem protocol, Ministry of Oceans and Fisheries, Seoul, Korea, 48.
- MABIK(2021) In: National list of marine species. I. Vertebrate. Seocheon, Korea: Namu Press.
-
Miller BS and Kendall AW(2009). Early life history of marine fishes, University of California Press, Los Angeles. 376.
[https://doi.org/10.1525/9780520943766]
- MOF and KIMST(2019). Integrated management system to support implementing entire management cycles (status, diagnosis, prediction, planning and evaluation), and maintaining environmental integrity and sustainable use of the Geum River Estuary, Myongji University, R&D Report 546.
-
Moon SY, Lee MH, Kyung Mi Jung, Kim H and Jung JH(2022). Spatial and temporal distribution of fish larvae in the southern coast of Korea from spring to summer. Korean J Fish Aquat Sci, 55(4), 461~477.
[https://doi.org/10.5657/KFAS.2022.0461]
- NFRDI(2024). Commercial fishes of the coastal and offshore waters in Korea, 3rd ed, Busan, 345.
- Okiyama M(2014). An atlas of the early stage fishes in Japan, 2nd ed, Tokai University Press, 1639.
-
Park S, Sin Y and Kim J(2018). The assessment of aquatic ecosystem health, based on phytoplankton indicators and quality parameters, in the seawater zone of Geum River Estuary. J Korean Soc Mar Environ Energy, 21(3), 228~241.
[https://doi.org/10.7846/JKOSMEE.2018.21.3.228]
-
Shin YK(2013). A ecological study of phytoplankton community in the Geum River Estuary. Korean J Ecol Environ, 46(4), 524~540.
[https://doi.org/10.11614/KSL.2013.46.4.524]
-
Song YF, Zhang LJ and Luo XX(2018). Spatiotemporal distribution of fish eggs and larvae in the Huanghe (Yellow) River Estuary, china in 2005-2016. J Oceanol Limnol, 37, 1625~1637.
[https://doi.org/10.1007/s00343-019-8167-0]
-
Takahashi M and Watanabe Y(2004). Staging larval and early juvenile Japanese anchovy based on the degree of guanine deposition. J Fish Biol, 64(1), 262~267.
[https://doi.org/10.1111/j.1095-8649.2004.00283.x]
-
Wang Y, Liang C, Chen Z, Liu S, Zhang H and Xian W(2021). Spring ichthyoplankton assemblage structure in the Yangtze Estuary under environmental factors. Front Mar Sci, 8, 806096.
[https://doi.org/10.3389/fmars.2021.806096]
- Yamada U, Tagawa M, Kishida S and Honjo K(1986). Fishes of the East China Sea and the Yellow Sea, Seikai Reg Fish Res Lab, Japan, 501.
-
Youn BI, Lee SJ, Sohn MH, Han SH, Lee HB, Kim MJ and Han KH(2019). Distribution of ichthyoplankton in the west coastal waters of Korea. J Korean Soc Fish Ocean Technol, 55(3), 243~51.
[https://doi.org/10.3796/KSFOT.2019.55.3.243]
-
Zhang H, Xian W and Liu S(2015). Ichthyoplankton assemblage structure of springs in the Yangtze Estuary revealed by biological and environmental visions. PeerJ, 3:e1186.
[https://doi.org/10.7717/peerj.1186]
![[Fig. 1] [Fig. 1]](/xml/48418/KSFME_2026_v38n1_160_f001.jpg)
